Клуб любителей китайских скутеров

Форум клуба любителей китайских скутеров

      
Текущее время: 13 дек 2025, 23:23

Часовой пояс: UTC + 3 часа


Правила форума


Посмотреть правила форума



Начать новую тему Ответить на тему  [ Сообщений: 3939 ]  На страницу Пред.  1 ... 183, 184, 185, 186, 187, 188, 189 ... 263  След.
Автор Сообщение
 Заголовок сообщения: Re: Stels Tactic-50. Дневник начинающего скутериста
СообщениеДобавлено: 01 июл 2010, 21:47 
Не в сети
Опытный
Опытный
Аватар пользователя

Зарегистрирован: 22 июн 2010, 07:25
Сообщений: 704
Откуда: с. Покровское, Ростовской области
Поблагодарил: раз(а)
Поблагодарили: раз(а)
Скутер: STELS tactic 50 и HONDA TACT S 50 двиг. AF18Е
Стаж: 2-й сезон
Чет я все кнопки перетыкал и нифига :(
Зато я нашел что-то вроде аварийки :) Если нажать на красную кнопку и подержать несколько секунд, а затем включить зажигание, то моргают все четыре поворотника, а звука нет :)


Вернуться наверх
 Профиль  
 
 Заголовок сообщения: Re: Stels Tactic-50. Дневник начинающего скутериста
СообщениеДобавлено: 01 июл 2010, 21:59 
Не в сети
Старожил
Старожил

Зарегистрирован: 18 янв 2009, 14:07
Сообщений: 7631
Откуда: 69 RUS
Поблагодарил: раз(а)
Поблагодарили: раз(а)
Медали: 6
За дальнобой 2-й степени. (1) За полезные и полные ответы. (1) За тех. помощь 1-й степени (1) За тех. помощь 2-й степени (1) За статью 1-й степени. (1)
Скутер: стелс лидер-50 2т (72 cc)
Стаж: 4
вот так и настраивают, держишь кнопку, мигнет несколько раз поворотами, после этого верхней кнопкой + чувствительность, нижней -
Точно не помню книжка в гараже, завтра отпишусь или скан скину.


Вернуться наверх
 Профиль  
 
 Заголовок сообщения: Re: Stels Tactic-50. Дневник начинающего скутериста
СообщениеДобавлено: 01 июл 2010, 22:23 
Не в сети
Опытный
Опытный
Аватар пользователя

Зарегистрирован: 22 июн 2010, 07:25
Сообщений: 704
Откуда: с. Покровское, Ростовской области
Поблагодарил: раз(а)
Поблагодарили: раз(а)
Скутер: STELS tactic 50 и HONDA TACT S 50 двиг. AF18Е
Стаж: 2-й сезон
funix писал(а):
вот так и настраивают, держишь кнопку, мигнет несколько раз поворотами, после этого верхней кнопкой + чувствительность, нижней -
Точно не помню книжка в гараже, завтра отпишусь или скан скину.

Жду с нетерпением :) А где верхняя и нижняя кнопки? У меня кнопки с рисунками: закрытый замок, открытый замок, молния, и колокольчик.

_________________
Лучше STЕLSа нет коня, 50 2Т ты любовь моя!


Вернуться наверх
 Профиль  
 
 Заголовок сообщения: Re: Stels Tactic-50. Дневник начинающего скутериста
СообщениеДобавлено: 01 июл 2010, 22:28 
Не в сети
Опытный
Опытный
Аватар пользователя

Зарегистрирован: 22 июн 2010, 07:25
Сообщений: 704
Откуда: с. Покровское, Ростовской области
Поблагодарил: раз(а)
Поблагодарили: раз(а)
Скутер: STELS tactic 50 и HONDA TACT S 50 двиг. AF18Е
Стаж: 2-й сезон
А может дело не в настройке? Я занимался пропайкой и изоляции всех проводов под приборкой, и после этого неработает, отключал питание сигналки, непомогло.

_________________
Лучше STЕLSа нет коня, 50 2Т ты любовь моя!


Вернуться наверх
 Профиль  
 
 Заголовок сообщения: Re: Stels Tactic-50. Дневник начинающего скутериста
СообщениеДобавлено: 02 июл 2010, 11:09 
Не в сети
Старожил
Старожил

Зарегистрирован: 18 янв 2009, 14:07
Сообщений: 7631
Откуда: 69 RUS
Поблагодарил: раз(а)
Поблагодарили: раз(а)
Медали: 6
За дальнобой 2-й степени. (1) За полезные и полные ответы. (1) За тех. помощь 1-й степени (1) За тех. помощь 2-й степени (1) За статью 1-й степени. (1)
Скутер: стелс лидер-50 2т (72 cc)
Стаж: 4
Стандартная сигнализация стелс, 2-е кнопки и выкидной ключ.
Вложение:
.jpg
.jpg [ 145.86 KiB | Просмотров: 3338 ]


Вернуться наверх
 Профиль  
 
 Заголовок сообщения: Re: Stels Tactic-50. Дневник начинающего скутериста
СообщениеДобавлено: 02 июл 2010, 12:41 
Не в сети
Опытный
Опытный
Аватар пользователя

Зарегистрирован: 22 июн 2010, 07:25
Сообщений: 704
Откуда: с. Покровское, Ростовской области
Поблагодарил: раз(а)
Поблагодарили: раз(а)
Скутер: STELS tactic 50 и HONDA TACT S 50 двиг. AF18Е
Стаж: 2-й сезон
funix писал(а):
Стандартная сигнализация стелс, 2-е кнопки и выкидной ключ.
Вложение:
.jpg

Спасибо за инструкцию, но не помогло, наверно у меня не родная сигналка стоит.

_________________
Лучше STЕLSа нет коня, 50 2Т ты любовь моя!


Вернуться наверх
 Профиль  
 
 Заголовок сообщения: Re: Stels Tactic-50. Дневник начинающего скутериста
СообщениеДобавлено: 02 июл 2010, 12:53 
Не в сети
Опытный
Опытный
Аватар пользователя

Зарегистрирован: 22 июн 2010, 07:25
Сообщений: 704
Откуда: с. Покровское, Ростовской области
Поблагодарил: раз(а)
Поблагодарили: раз(а)
Скутер: STELS tactic 50 и HONDA TACT S 50 двиг. AF18Е
Стаж: 2-й сезон
Вот такой у меня пульт.


Вложения:
02072010(012).jpg
02072010(012).jpg [ 237.44 KiB | Просмотров: 3331 ]

_________________
Лучше STЕLSа нет коня, 50 2Т ты любовь моя!
Вернуться наверх
 Профиль  
 
 Заголовок сообщения: Re: Stels Tactic-50. Дневник начинающего скутериста
СообщениеДобавлено: 03 июл 2010, 18:11 
Не в сети
Бывалый
Бывалый
Аватар пользователя

Зарегистрирован: 01 фев 2008, 20:48
Сообщений: 302
Поблагодарил: раз(а)
Поблагодарили: раз(а)
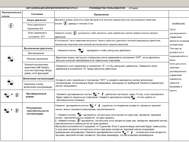
Mave попробуй поиском поискать,припоминаю вроде попадалась инфа по трехкнопочным и четырехкнопочным сигналкам.
По поводу настройки чувствительности 2-х кнопочным ключом,в инструкции есть недописка,про то как сохранить настройки.


Вложения:
.png
.png [ 90.73 KiB | Просмотров: 3325 ]

_________________
Stels Tactic 65cc(запилинг)
Malossi Dellorto PHBN 17.5(ГТЖ 72)
Запил сток. ЛК,лепестки стеклотекстолит 0.35мм
Malossi Multivar,Malossi Ventilvar,7.5 гр
Dayco 7175,белая-торк,желтые-сцепление 297715
Hella micro de,ксенон 2*25W 3000K
Pirelli GTS23/24
Вернуться наверх
 Профиль  
 
 Заголовок сообщения: Re: Stels Tactic-50. Дневник начинающего скутериста
СообщениеДобавлено: 04 июл 2010, 13:27 
Не в сети
Посетитель
Посетитель

Зарегистрирован: 05 фев 2010, 22:28
Сообщений: 215
Откуда: МО Красногорск
Поблагодарил: раз(а)
Поблагодарили: раз(а)
Скутер: tactic-50
Стаж: c апреля 2010
Mave писал(а):
А расход топлива 4л на 100км, при скорости 40-50км/час, по асфальту и по горкам это нормально?

думаю нормально... я пытался замерить, но не очень получилось:(
в общем чуть больше 3л, но это по горкам со скоростью 50-60 + мой центнер:)


Вернуться наверх
 Профиль  
 
 Заголовок сообщения: Re: Stels Tactic-50. Дневник начинающего скутериста
СообщениеДобавлено: 10 июл 2010, 22:55 
Не в сети
Опытный
Опытный
Аватар пользователя

Зарегистрирован: 31 май 2010, 14:57
Сообщений: 943
Откуда: ЮВАО
Поблагодарил: раз(а)
Поблагодарили: раз(а)
Скутер: Stels Tactic 100
Стаж: 4
я замерял джпэсом. по факту скорость 85, по джпсу 82, 91 см3. у меня электрокитай НэВрЕт

_________________
Stels tactic 100+ventilvar+malossi x-special+malossi multivar+stage6 R/T PWK 24mm+ malossi fly+malossi wing belt+домик stage6+tecnigas RSII+malossi MACSI+злая доработка цпг


Вернуться наверх
 Профиль  
 
 Заголовок сообщения: Re: Stels Tactic-50. Дневник начинающего скутериста
СообщениеДобавлено: 11 июл 2010, 12:12 
Не в сети
Опытный
Опытный
Аватар пользователя

Зарегистрирован: 31 май 2010, 14:57
Сообщений: 943
Откуда: ЮВАО
Поблагодарил: раз(а)
Поблагодарили: раз(а)
Скутер: Stels Tactic 100
Стаж: 4
kolya131313 писал(а):
Кстати,а как действительно настроить сигнализацию с пульта кнопками?Я ни разу не пытался настроить сигналку,но почуствительней сделать ее не помешает,только как,подскажите пожалуйста как!А спидометр стоковый правда врет,я помню поле обкатки на стоковом ,когда полный газ дал ,то очень обрадывался,т.к. больше 80-ти шел по спидометру.Но потом конечно я понял-ерунда!Реальная скорость была 63(проверял).А кстати на моем с тюнингом я в безветрии выжал 94км,но опять же отниму где-то 5,значит 88-89 он идет,скорость чувсвуется!

:-o :-o :-o тактик 50 даже под горку (ну если только горка не 90 градусов вниз) без серьезнейшей переделки варика и цпг 88-89 не поедет. блин нахрена тогда переплачивать за тактик 150 если 50 столько едет??. там надо оч много менять... меня еще смутило то что ты пишешь: ехал за 80 реально 63. как тогда ты отнимаешь от 94 5? надо отнимать 17. вот и получиться 75-77. это уже более реально под горку.
З.Ы. мое мнение. как кто-то из великих говорил: НЕ ВЕРЮ.

_________________
Stels tactic 100+ventilvar+malossi x-special+malossi multivar+stage6 R/T PWK 24mm+ malossi fly+malossi wing belt+домик stage6+tecnigas RSII+malossi MACSI+злая доработка цпг


Вернуться наверх
 Профиль  
 
 Заголовок сообщения: Re: Stels Tactic-50. Дневник начинающего скутериста
СообщениеДобавлено: 11 июл 2010, 14:02 
Не в сети
Опытный
Опытный
Аватар пользователя

Зарегистрирован: 22 июн 2010, 07:25
Сообщений: 704
Откуда: с. Покровское, Ростовской области
Поблагодарил: раз(а)
Поблагодарили: раз(а)
Скутер: STELS tactic 50 и HONDA TACT S 50 двиг. AF18Е
Стаж: 2-й сезон
бабай писал(а):
Mave писал(а):
И еще вопросик, у меня глушитель "саксофон", я разобрал его, а там что то вроде минваты, и грязная сильно в одном месте, отчистить ничем не вышло, пришлось срезать этот участок. Но теперь скутер стал сильно басить.
Можно обычную минвату туда поставить?



попробуй и расскажи о результате :)

Поставил, звук не изменился, но зато глушитель теперь холодный :)

_________________
Лучше STЕLSа нет коня, 50 2Т ты любовь моя!


Вернуться наверх
 Профиль  
 
 Заголовок сообщения: Re: Stels Tactic-50. Дневник начинающего скутериста
СообщениеДобавлено: 11 июл 2010, 14:05 
Не в сети
Опытный
Опытный
Аватар пользователя

Зарегистрирован: 31 май 2010, 14:57
Сообщений: 943
Откуда: ЮВАО
Поблагодарил: раз(а)
Поблагодарили: раз(а)
Скутер: Stels Tactic 100
Стаж: 4
ребят ультробыстро плиз ответ нужен. тактик 100 разобрал карбюратор. там на винте ХХ стоит пружинка и еще на какомто винте. только на каком? качества? а то лишняя деталь.


а по поводу сакса: главное не звук а что стало с динамикой? макс. скоростью? какие изменения в плане хода?

_________________
Stels tactic 100+ventilvar+malossi x-special+malossi multivar+stage6 R/T PWK 24mm+ malossi fly+malossi wing belt+домик stage6+tecnigas RSII+malossi MACSI+злая доработка цпг


Вернуться наверх
 Профиль  
 
 Заголовок сообщения: Re: Stels Tactic-50. Дневник начинающего скутериста
СообщениеДобавлено: 11 июл 2010, 14:12 
Не в сети
Посетитель
Посетитель
Аватар пользователя

Зарегистрирован: 05 фев 2010, 22:00
Сообщений: 156
Откуда: Кинель, Самарская область
Поблагодарил: раз(а)
Поблагодарили: раз(а)
Скутер: Keeway RY8
Стаж: 3 cезона
На винте качества пружинка стоять должна!


Вернуться наверх
 Профиль  
 
 Заголовок сообщения: Re: Stels Tactic-50. Дневник начинающего скутериста
СообщениеДобавлено: 11 июл 2010, 14:19 
Не в сети
Опытный
Опытный
Аватар пользователя

Зарегистрирован: 31 май 2010, 14:57
Сообщений: 943
Откуда: ЮВАО
Поблагодарил: раз(а)
Поблагодарили: раз(а)
Скутер: Stels Tactic 100
Стаж: 4
пасиб

_________________
Stels tactic 100+ventilvar+malossi x-special+malossi multivar+stage6 R/T PWK 24mm+ malossi fly+malossi wing belt+домик stage6+tecnigas RSII+malossi MACSI+злая доработка цпг


Вернуться наверх
 Профиль  
 
Показать сообщения за:  Сортировать по:  
Начать новую тему Ответить на тему  [ Сообщений: 3939 ]  На страницу Пред.  1 ... 183, 184, 185, 186, 187, 188, 189 ... 263  След.

Часовой пояс: UTC + 3 часа


Кто сейчас на форуме

Сейчас этот форум просматривают: нет зарегистрированных пользователей и гости: 2


Вы не можете начинать темы
Вы не можете отвечать на сообщения
Вы не можете редактировать свои сообщения
Вы не можете удалять свои сообщения
Вы не можете добавлять вложения

Перейти:  
cron
Powered by phpBB © phpBB Group
china-scooter.ru © 2006-2019